#P2190. 「CCO 2020」千山万壑
「CCO 2020」千山万壑
题目描述
译自 CCO 2020 Day1 T3「Mountains and Valleys」,翻译者:PinkRabbit。
给定一张 个点 条边的无向图,节点的标号为 ,其中边有正整数边权。
特别地,有恰好 条边的边权为 ,且仅考虑这些边时,图形成了一棵树。而对于其它边,它们的边权至少为 。
请你找出一条路径,可以从任意节点出发,并最终在任意节点停下,但需要经过每一个节点至少一次,且最小化总边权。注意,如果你经过一条边权为 的边 次,那么这条边会为总边权贡献 。
输入格式
第一行两个正整数 。
接下来 行,每行三个正整数 ,表示一条连接着节点 和 的边权为 的边。
输出格式
输出一行一个数表示最小的总边权。
样例
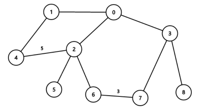
9 10
0 1 1
0 2 1
0 3 1
1 4 1
2 5 1
2 6 1
3 7 1
3 8 1
2 4 5
6 7 3
11

最优方案之一为路径 $4 \to 1 \to 0 \to 2 \to 5 \to 2 \to 6 \to 7 \to 3 \to 8$,总边权为 。不存在总边权更小的能够经过每个点至少一次的路径。
数据范围与提示
对于所有数据,保证 ,,, 或 $\displaystyle \left\lceil \frac{N}{3} \right\rceil \le w_i \le N$,无重边或自环。
| 子任务编号 | 分值 | 特殊限制 | ||
|---|---|---|---|---|
| 无特殊限制 | ||||
| 或 $\displaystyle \left\lceil \frac{N}{2} \right\rceil \le w_i \le N$ | ||||
| 无特殊限制 | ||||
| 无特殊限制 | ||||