#P2087. 「BalticOI 2019 Day1」山谷
「BalticOI 2019 Day1」山谷
题目描述
译自 BalticOI 2019 Day1 T3. Alpine valley
在阿尔卑斯山谷中,有 个村庄,编号为 ,这些村庄通过 条边连接起来,形成了一个树型结构。
虽然任意两个村庄间都能相互抵达,但路途花费的时间可能令人难以接受,尤其是当你想要购买一些生活必需品的时候——因为所有村庄中,只有其中 个村庄有商店。
今年冬天,由于大雪的原因,情况变得更糟。因此,你需要到达 号村庄——那里有连接山区和外界的唯一通道,亦或是在山谷中的商店里购买足够接下来几个月生活的物资。今天早上,你在收音机里听到了所有道路中有一条道路无法通行的消息,但是你并不知道具体是哪一条道路。
你现在想知道你和你的朋友是否可以离开山谷,如果不能离开,则需要知道你们离最近商店的距离。由于你还不知道哪条道路无法通行,并且你的朋友们居住在不同的村庄,因此你需要回答 组询问,每组询问给出一条被封锁的道路和你朋友所在村庄的位置。
输入格式
输入第一行包含四个整数 。其中 代表村庄数目, 代表有商店的村庄的数目, 代表你需要回答的询问数, 代表连接山区和外界的村庄的编号。
接下来 行,每行包含三个整数 ,代表村庄 与村庄 之间有一条长度为 的道路。
接下来 行,每行包含一个整数 ,代表 号村庄有一个商店。数据保证同一个村庄最多只有一个商店。
最后 行,每行两个整数 ,询问当 号道路(按输入顺序编号)无法通行时,从 号村庄出发能否离开山谷,如果不能,则询问其离最近商店的距离。
输出格式
输出包含 行,第 行输出第 组询问的答案。更具体地说,如果能离开山谷,输出 escaped;如果不能离开山谷的话,输出 号村庄离最近商店的距离;如果既不能离开山谷,也不能到达任意一个商店的话,输出 oo。
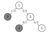
样例 1
5 2 3 1
1 2 3
1 3 2
3 4 1
3 5 2
2
4
2 2
2 5
4 5
escaped
3
oo
本样例对应下图:

在该图(以及接下来一张图)中,用灰色标记的点为商店所在点,图上的边按照「编号 / 长度」的顺序进行标注。
10 2 5 4
7 2 3
4 8 3
9 10 1
6 7 3
9 2 3
10 1 2
8 2 2
5 2 1
3 8 2
8
7
2 1
1 5
8 4
6 2
7 7
8
escaped
escaped
escaped
0
本样例对应下图:

数据范围与提示
对于所有数据,均满足:,且 。
各子任务的分值与数据规模如下:
子任务 1(9 分):,且所有道路均满足 。
子任务 2(27 分):。
子任务 3(23 分):,且 。
子任务 4(41 分):。